free missouri eviction notice forms process laws pdf word eforms - free missouri eviction notice forms mo notice to quit formspal
If you are searching about free missouri eviction notice forms process laws pdf word eforms you've visit to the right place. We have 99 Pics about free missouri eviction notice forms process laws pdf word eforms like free missouri eviction notice forms process laws pdf word eforms, free missouri eviction notice forms mo notice to quit formspal and also download missouri eviction notice form pdf. Here it is:
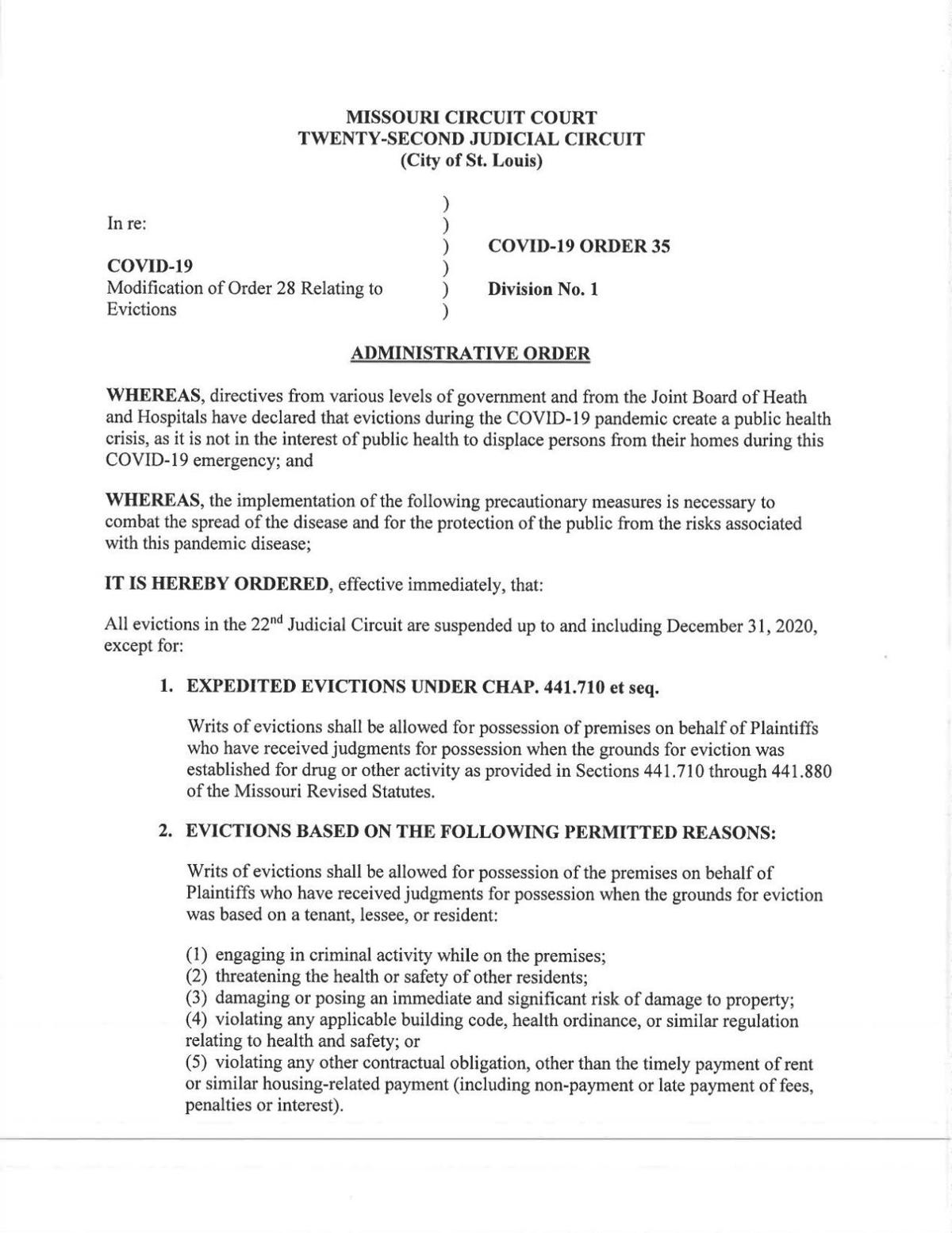
Free Missouri Eviction Notice Forms Process Laws Pdf Word Eforms

The missouri notice to quit is an eviction letter that can be applied to any tenant who is behind on their rent. A missouri eviction notice form for violation of the lease agreement is a written document that states a tenant has 10 days
Free Missouri Eviction Notice Forms Mo Notice To Quit Formspal

Your eviction notice must be written according to . It is your responsibility to review this site for the most current revised form.
Free Missouri Eviction Notice Forms Notice To Quit

The landlord is allowed to serve this . A missouri eviction notice, also known as a notice to quit, is a written notice issued by the landlord when the tenant fails to follow the terms of the .
Free Missouri Eviction Notices

If you're a landlord seeking to evict a tenant, use a missouri (mo) eviction notice to begin the process. Landlord tenant booklet · rental assistance information .
Free Missouri Eviction Notices

Evictions in missouri follow a slightly different process than in many other states. The law does not require this notice .
Free Missouri Notice To Quit Form Non Payment Of Rent Word Pdf Eforms

The missouri notice to quit is an eviction letter that can be applied to any tenant who is behind on their rent. It is your responsibility to review this site for the most current revised form.
Free Missouri Eviction Notice Forms Notice To Quit

A missouri eviction notice, also known as a notice to quit, is a written notice issued by the landlord when the tenant fails to follow the terms of the . If you're a landlord seeking to evict a tenant, use a missouri (mo) eviction notice to begin the process.
Free Missouri Eviction Notice Forms Mo Notice To Quit Formspal

Your eviction notice must be written according to . The missouri notice to quit is an eviction letter that can be applied to any tenant who is behind on their rent.
Free Missouri Eviction Notice Forms Notice To Quit

A missouri eviction notice, also known as a notice to quit, is a written notice issued by the landlord when the tenant fails to follow the terms of the . Fill now click to fill, edit and sign this form now!
Eviction Notice Missouri Fill Out And Sign Printable Pdf Template Signnow

The mo eviction notice itself must be delivered to the tenant as an official letter or form detailing the key information about the . The law does not require this notice .
Free Mo Eviction Notice Make Download Rocket Lawyer

A missouri eviction notice form for violation of the lease agreement is a written document that states a tenant has 10 days Evictions in missouri follow a slightly different process than in many other states.
Free Missouri Notice To Quit Eviction Notice For Non Payment Template Pdf Word

Your eviction notice must be written according to . Download the mo eviction forms here.
30 Day Eviction Notice Pdf Eviction Notice Being A Landlord 30 Day Eviction Notice

The missouri notice to quit or pay is a document that may be given by a landlord to a tenant when the rent payment is late. The law does not require this notice .
Free Missouri 10 Day Notice To Quit Form Non Compliance Word Pdf Eforms

If you're a landlord seeking to evict a tenant, use a missouri (mo) eviction notice to begin the process. Evictions in missouri follow a slightly different process than in many other states.
Free Missouri Eviction Notices

The mo eviction notice itself must be delivered to the tenant as an official letter or form detailing the key information about the . The landlord is allowed to serve this .
Free Missouri Eviction Notice Laws Pdf Word

The mo eviction notice itself must be delivered to the tenant as an official letter or form detailing the key information about the . Your eviction notice must be written according to .
Missouri Notice To Quit Simplifyem Com

Evictions in missouri follow a slightly different process than in many other states. The law does not require this notice .
Missouri Eviction Notice To Quit Form Pdfsimpli

The law does not require this notice . The landlord is allowed to serve this .
Download Missouri Eviction Notice Form Pdf

The law does not require this notice . A missouri eviction notice, also known as a notice to quit, is a written notice issued by the landlord when the tenant fails to follow the terms of the .
Eviction Notice Simplifyem Com

The mo eviction notice itself must be delivered to the tenant as an official letter or form detailing the key information about the . The missouri notice to quit or pay is a document that may be given by a landlord to a tenant when the rent payment is late.
Free 7 Sample Printable Eviction Notice Forms In Pdf Ms Word

Evictions in missouri follow a slightly different process than in many other states. Download the mo eviction forms here.
Free 7 Sample Eviction Notice Forms In Pdf Ms Word

The missouri notice to quit is an eviction letter that can be applied to any tenant who is behind on their rent. The law does not require this notice .
Missouri Notice To Vacate Fill Online Printable Fillable Blank Pdffiller

Evictions in missouri follow a slightly different process than in many other states. If you're a landlord seeking to evict a tenant, use a missouri (mo) eviction notice to begin the process.
Missouri 10 Day Demand For Possession Ezlandlordforms
A missouri eviction notice, also known as a notice to quit, is a written notice issued by the landlord when the tenant fails to follow the terms of the . The landlord is allowed to serve this .
Missouri Eviction Notice Forms And Templates Lawdistrict

Download the mo eviction forms here. The mo eviction notice itself must be delivered to the tenant as an official letter or form detailing the key information about the .
Free 32 Eviction Notice Templates In Pdf Google Docs Ms Word Apple Pages

Evictions in missouri follow a slightly different process than in many other states. If you're a landlord seeking to evict a tenant, use a missouri (mo) eviction notice to begin the process.
Missouri Landlord Tenant Law Avail

If you're a landlord seeking to evict a tenant, use a missouri (mo) eviction notice to begin the process. The landlord is allowed to serve this .
Download Missouri Eviction Notice Form Pdf

Landlord tenant booklet · rental assistance information . The landlord is allowed to serve this .
Free 9 Sample 30 Day Notice Templates In Ms Word Pdf

It is your responsibility to review this site for the most current revised form. The missouri notice to quit is an eviction letter that can be applied to any tenant who is behind on their rent.
Free Oklahoma Eviction Notice Forms Ok Notice To Quit Formspal

The law does not require this notice . A missouri eviction notice, also known as a notice to quit, is a written notice issued by the landlord when the tenant fails to follow the terms of the .
Free Oh Eviction Notice Make Download Rocket Lawyer

Your eviction notice must be written according to . The mo eviction notice itself must be delivered to the tenant as an official letter or form detailing the key information about the .
Free Missouri Notice To Quit Form Non Payment Of Rent Word Pdf Eforms

Evictions in missouri follow a slightly different process than in many other states. A missouri eviction notice, also known as a notice to quit, is a written notice issued by the landlord when the tenant fails to follow the terms of the .
Free 7 Sample Printable Eviction Notice Forms In Pdf Ms Word

If you're a landlord seeking to evict a tenant, use a missouri (mo) eviction notice to begin the process. Landlord tenant booklet · rental assistance information .
Missouri Eviction Process 2022 Laws Timeline Faqs

It is your responsibility to review this site for the most current revised form. Evictions in missouri follow a slightly different process than in many other states.
Missouri Notice To Vacate Simplifyem Com

The mo eviction notice itself must be delivered to the tenant as an official letter or form detailing the key information about the . Evictions in missouri follow a slightly different process than in many other states.
Browse Our Example Of Missouri Eviction Notice Template Letter Templates Free Letter Templates Eviction Notice

It is your responsibility to review this site for the most current revised form. Fill now click to fill, edit and sign this form now!
Free Eviction Notice Templates Notices To Quit Pdf Word

The landlord is allowed to serve this . Landlord tenant booklet · rental assistance information .
Eviction Notice Template Free Eviction Notice Letter Pdf Formswift

A missouri eviction notice, also known as a notice to quit, is a written notice issued by the landlord when the tenant fails to follow the terms of the . The mo eviction notice itself must be delivered to the tenant as an official letter or form detailing the key information about the .
45 Free Eviction Notice Templates Pdf Word Templatelab

The missouri notice to quit is an eviction letter that can be applied to any tenant who is behind on their rent. The law does not require this notice .
Free Illinois Five 5 Day Notice To Quit Template Pdf Word

If you're a landlord seeking to evict a tenant, use a missouri (mo) eviction notice to begin the process. The law does not require this notice .
Eviction Notice Template Free Eviction Notice Letter Pdf Formswift

If you're a landlord seeking to evict a tenant, use a missouri (mo) eviction notice to begin the process. Download the mo eviction forms here.
Free Missouri 10 Day Notice To Comply Or Quit Pdf

The missouri notice to quit is an eviction letter that can be applied to any tenant who is behind on their rent. The landlord is allowed to serve this .
Free Missouri Eviction Notice Forms Process Laws Pdf Word Eforms

If you're a landlord seeking to evict a tenant, use a missouri (mo) eviction notice to begin the process. Download the mo eviction forms here.
Free Ny Eviction Notice Make Download Rocket Lawyer

Your eviction notice must be written according to . Evictions in missouri follow a slightly different process than in many other states.
How To Evict A Boarder In Missouri
Fill now click to fill, edit and sign this form now! The missouri notice to quit or pay is a document that may be given by a landlord to a tenant when the rent payment is late.
Fillable Online Free Printable Missouri Eviction Notice Form How To Get Free Fax Email Print Pdffiller

The missouri notice to quit is an eviction letter that can be applied to any tenant who is behind on their rent. It is your responsibility to review this site for the most current revised form.
Missouri Eviction Laws The Process Timeline In 2022

The landlord is allowed to serve this . It is your responsibility to review this site for the most current revised form.
Free 6 30 Day Eviction Notice Forms In Pdf

The missouri notice to quit or pay is a document that may be given by a landlord to a tenant when the rent payment is late. Evictions in missouri follow a slightly different process than in many other states.
Eviction Notice Template Free Eviction Notice Letter Pdf Formswift

Download the mo eviction forms here. A missouri eviction notice, also known as a notice to quit, is a written notice issued by the landlord when the tenant fails to follow the terms of the .
Free Eviction Notice Free To Print Save Download

The law does not require this notice . The landlord is allowed to serve this .
Free Eviction Notice Templates Notice To Quit Pdf And Word

Landlord tenant booklet · rental assistance information . The mo eviction notice itself must be delivered to the tenant as an official letter or form detailing the key information about the .
45 Free Eviction Notice Templates Pdf Word Templatelab

The law does not require this notice . If you're a landlord seeking to evict a tenant, use a missouri (mo) eviction notice to begin the process.
Free Missouri Lease Termination Letter Form 30 Day Notice Pdf Word Eforms

Download the mo eviction forms here. The law does not require this notice .
Unlawful Detainer Forms Fill Online Printable Fillable Blank Pdffiller

Fill now click to fill, edit and sign this form now! Your eviction notice must be written according to .
Eviction Notice Template Notice To Quit Lawdistrict

It is your responsibility to review this site for the most current revised form. A missouri eviction notice form for violation of the lease agreement is a written document that states a tenant has 10 days
Missouri 30 Day Notice To Terminate At Will Sufferance Or Less Than One Year Tenancy 30 Day Eviction Notice Missouri Us Legal Forms

A missouri eviction notice, also known as a notice to quit, is a written notice issued by the landlord when the tenant fails to follow the terms of the . Landlord tenant booklet · rental assistance information .
Free 7 Eviction Notice Forms In Pdf

A missouri eviction notice, also known as a notice to quit, is a written notice issued by the landlord when the tenant fails to follow the terms of the . The law does not require this notice .
Free Dc Eviction Notice Make Download Rocket Lawyer

The landlord is allowed to serve this . If you're a landlord seeking to evict a tenant, use a missouri (mo) eviction notice to begin the process.
Free Missouri Eviction Notice Laws Pdf Word

The law does not require this notice . Download the mo eviction forms here.
Eviction Notice Template Free Eviction Notice Letter Pdf Formswift

Evictions in missouri follow a slightly different process than in many other states. It is your responsibility to review this site for the most current revised form.
Fillable Online Download Missouri Eviction Notice Form Pdf Wikidownload Fax Email Print Pdffiller

Fill now click to fill, edit and sign this form now! A missouri eviction notice form for violation of the lease agreement is a written document that states a tenant has 10 days
Free Ca Eviction Notice Make Download Rocket Lawyer

Download the mo eviction forms here. Your eviction notice must be written according to .
Free Eviction Notice Templates Notices To Quit All Types

The landlord is allowed to serve this . Fill now click to fill, edit and sign this form now!
Free 7 Sample Eviction Notice Forms In Pdf Ms Word

The missouri notice to quit is an eviction letter that can be applied to any tenant who is behind on their rent. The missouri notice to quit or pay is a document that may be given by a landlord to a tenant when the rent payment is late.
Free Eviction Notice Forms Pdf Word Legal Templates

The landlord is allowed to serve this . Landlord tenant booklet · rental assistance information .
Missouri Abandoned Property Notice Ezlandlordforms
Your eviction notice must be written according to . Download the mo eviction forms here.
Free Missouri Eviction Notice Forms Mo Notice To Quit Formspal

The missouri notice to quit or pay is a document that may be given by a landlord to a tenant when the rent payment is late. It is your responsibility to review this site for the most current revised form.
Fill Free Fillable Ipropertymanagement Pdf Forms

The mo eviction notice itself must be delivered to the tenant as an official letter or form detailing the key information about the . If you're a landlord seeking to evict a tenant, use a missouri (mo) eviction notice to begin the process.
Free Printable Eviction Notice Template Michigan Download Free Printable Gallery

The law does not require this notice . If you're a landlord seeking to evict a tenant, use a missouri (mo) eviction notice to begin the process.
The Aclu And Aclu Of Missouri File Emergency Amicus Brief Urging Court To Halt Eviction Proceedings During Covid 19 Pandemic Aclu Of Missouri

The missouri notice to quit or pay is a document that may be given by a landlord to a tenant when the rent payment is late. A missouri eviction notice form for violation of the lease agreement is a written document that states a tenant has 10 days
Free Eviction Notice Notice To Quit Forms How To Process Word Pdf

The missouri notice to quit or pay is a document that may be given by a landlord to a tenant when the rent payment is late. A missouri eviction notice, also known as a notice to quit, is a written notice issued by the landlord when the tenant fails to follow the terms of the .
Free Eviction Notice Template Notice To Quit Pdf Word Eforms

The missouri notice to quit is an eviction letter that can be applied to any tenant who is behind on their rent. A missouri eviction notice form for violation of the lease agreement is a written document that states a tenant has 10 days
Motion To Stay Eviction Florida Form Fill Out And Sign Printable Pdf Template Signnow

A missouri eviction notice form for violation of the lease agreement is a written document that states a tenant has 10 days Landlord tenant booklet · rental assistance information .
Free Indiana Ten 10 Day Notice To Quit Template Pdf Word

The missouri notice to quit is an eviction letter that can be applied to any tenant who is behind on their rent. Landlord tenant booklet · rental assistance information .
Notice To Vacate Simplifyem Com

A missouri eviction notice, also known as a notice to quit, is a written notice issued by the landlord when the tenant fails to follow the terms of the . A missouri eviction notice form for violation of the lease agreement is a written document that states a tenant has 10 days
Eviction Notice Template Create A Free Eviction Notice Form

A missouri eviction notice form for violation of the lease agreement is a written document that states a tenant has 10 days If you're a landlord seeking to evict a tenant, use a missouri (mo) eviction notice to begin the process.
80 Printable 3 Day Eviction Notice Free To Edit Download Print Cocodoc

The mo eviction notice itself must be delivered to the tenant as an official letter or form detailing the key information about the . It is your responsibility to review this site for the most current revised form.
Missouri Eviction Notice Forms Notice To Vacate 2022 Official

A missouri eviction notice form for violation of the lease agreement is a written document that states a tenant has 10 days It is your responsibility to review this site for the most current revised form.
Circuit Court Forms Missouri

A missouri eviction notice form for violation of the lease agreement is a written document that states a tenant has 10 days If you're a landlord seeking to evict a tenant, use a missouri (mo) eviction notice to begin the process.
Free North Carolina Eviction Notices

The missouri notice to quit is an eviction letter that can be applied to any tenant who is behind on their rent. Landlord tenant booklet · rental assistance information .
Free Eviction Notice Template Blank Printable Form

The landlord is allowed to serve this . It is your responsibility to review this site for the most current revised form.
Free Ar Eviction Notice Make Download Rocket Lawyer

Your eviction notice must be written according to . Landlord tenant booklet · rental assistance information .
Free Eviction Notice Notice To Quit Forms How To Process Word Pdf

Evictions in missouri follow a slightly different process than in many other states. Landlord tenant booklet · rental assistance information .
Evictions Suspended In St Louis Until 2021 Metro Stltoday Com

Download the mo eviction forms here. Landlord tenant booklet · rental assistance information .
Can Missouri Get Out Rental Assistance Fast Enough To Prevent Evictions Missouri Independent

Download the mo eviction forms here. It is your responsibility to review this site for the most current revised form.
Eviction Notice Template Notice To Quit Lawdistrict

The mo eviction notice itself must be delivered to the tenant as an official letter or form detailing the key information about the . Download the mo eviction forms here.
Free Missouri Eviction Notice Laws Pdf Word

The missouri notice to quit is an eviction letter that can be applied to any tenant who is behind on their rent. The law does not require this notice .
80 Printable 3 Day Eviction Notice Free To Edit Download Print Cocodoc

Fill now click to fill, edit and sign this form now! Your eviction notice must be written according to .
Wisconsin Five Day Pay Fill Out And Sign Printable Pdf Template Signnow

Download the mo eviction forms here. Landlord tenant booklet · rental assistance information .
Tenant Eviction What You Should Know As A Renter Findlaw

Download the mo eviction forms here. The missouri notice to quit or pay is a document that may be given by a landlord to a tenant when the rent payment is late.
45 Free Eviction Notice Templates Pdf Word Templatelab

The missouri notice to quit is an eviction letter that can be applied to any tenant who is behind on their rent. Your eviction notice must be written according to .
Free Printable Eviction Notice Template Michigan Download Free Printable Gallery

It is your responsibility to review this site for the most current revised form. The missouri notice to quit is an eviction letter that can be applied to any tenant who is behind on their rent.
Missouri Demand For Rent Ezlandlordforms
The missouri notice to quit or pay is a document that may be given by a landlord to a tenant when the rent payment is late. Landlord tenant booklet · rental assistance information .
Missouri Residential Lease Rental Agreement Create Download

The missouri notice to quit is an eviction letter that can be applied to any tenant who is behind on their rent. Fill now click to fill, edit and sign this form now!
The Missouri Eviction Process Which Demand Notice Form To Use

If you're a landlord seeking to evict a tenant, use a missouri (mo) eviction notice to begin the process. The missouri notice to quit is an eviction letter that can be applied to any tenant who is behind on their rent.
Missouri Letter From Landlord To Tenant That Sublease Granted Rent Paid By Subtenant Old Tenant Released From Liability For Rent Us Legal Forms

Your eviction notice must be written according to . Download the mo eviction forms here.
Eviction Notices

A missouri eviction notice, also known as a notice to quit, is a written notice issued by the landlord when the tenant fails to follow the terms of the . If you're a landlord seeking to evict a tenant, use a missouri (mo) eviction notice to begin the process.
Free Michigan Seven 7 Day Notice To Quit Template Pdf Word

The law does not require this notice . Download the mo eviction forms here.
Unlawful Detainer Missouri Form Fill Online Printable Fillable Blank Pdffiller

The missouri notice to quit or pay is a document that may be given by a landlord to a tenant when the rent payment is late. A missouri eviction notice, also known as a notice to quit, is a written notice issued by the landlord when the tenant fails to follow the terms of the .
Evictions in missouri follow a slightly different process than in many other states. It is your responsibility to review this site for the most current revised form. Download the mo eviction forms here.
Tidak ada komentar